About
Features
The main features of TBPLaS include:
- Capabilities
- Modeling
Models with arbitrary dimension, shape and boundary conditions
Model replicating, reshaping, merging and splitting
Clusters, nano-tubes, slabs and crystals
Defects, impurities and disorders
Hetero-structures, quasi-crystals, fractals
Built-in support for Slater-Koster formulation and spin-orbital coupling
Shipped with materials database (Graphene, phosphorene, antimonene, TMDC)
Interfaces to Wannier90, LAMMPS, DeepH-pack and DeePTB
Tools for fitting on-site energies and hopping integrals
Support for analytical Hamiltonian
- Fields and strains
Homogeneous magnetic field via Peierls substitution
User-defined electric field
Arbitrary deformation with strain and stress
- Exact-diagonalization
Band structure, density of states (DOS), wave functions
Berry curvature, phase and topological invariants
Spin texture
Polarizability, dielectric function, optical (AC) conductivity
Full diagonalization and selective diagonalization within specific energy range
Non-orthogonal basis set
- Tight-binding propagation method (TBPM)
DOS, LDOS and carrier density
Optical (AC) conductivity and absorption spectrum
Electronic (DC) conductivity and time-dependent diffusion coefficient
Carrier velocity, mobility, elastic mean free path, Anderson localization length
Polarization function, response function, dielectric function, energy loss function
Plasmon dispersion, plasmon lifetime and damping rate
Quasi-eigenstate and real-space charge density
Propagation of time-dependent wave function
- Kernel polynomial method
Electronic (DC) and Hall Conductivity
- Recursive Green’s function method
Local density of states (LDOS)
- Efficiency
Compatible Python/C++ modeling tools
C++ core for performance-critical parts
Hybrid parallelism based on MPI and OpenMP
GPU computation based on CUDA
Sparse matrices for reducing memory cost
Lazy-evaluation technique to reduce unnecessary operations
Interface to Netlib LAPACK, OpenBLAS, AMD AOCL and Intel MKL
- User friendliness
Intuitive object-oriented user APIs in both Python and C++
Simple workflow with a lot of handy tools
Transparent code architecture with detailed documentation
- Security
Detailed checking on input arguments with precise error message
Top-down and bottom-up techniques for keeping data consistency
Gallery
Modeling
Fractal
Deformation
Twisted bilayer graphene (TBG)
Quasi-crystal
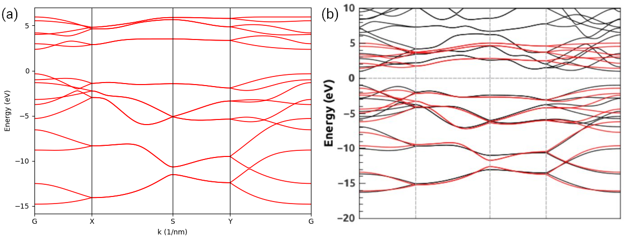
Properties calculation
Band structure of TBG from diagonalization (left) and TBPM (right)
Density of states of graphene from diagonalization and TBPM
Optical conductivity of graphene from diagonalization and TBPM
Landau levels in graphene under magnetic field
\(\mathbb{Z}_2\) topological invariant of bilayer bismuth
Refitting of on-site energies and hopping terms from Wannier90 output
Plasmon modes in twisted bilayer MoS2 Phys. Rev. B 105, 245415 (2022)
Local DOS in graphene nanobubbles Phys. Rev. B 109, 115420 (2024)
Spin texture of Kane-Mele model
Spin-resolved band structure of Kane-Mele model
Berry curvature of Haldane model
Wave function propagation in graphene under deformation (f-j), scattering potential (k-o) and magnetic field (p-t)
Export of 3D wave functions of hydrogen atomic chain
Citation
Please cite the follow paper(s) when using results from TBPLaS:
Li, Z. Zhan, X. Kuang, Y. Li and S. Yuan, TBPLaS: a Tight-Binding Package for Large-scale Simulation, Comput. Phys. Commun. 285, 108632 (2023)
License
TBPLaS is release under the BSD license 2.0, the complete content of which is as following:
Copyright (c) 2017-2025, TBPLaS development team. All rights reserved.
Redistribution and use in source and binary forms, with or without modification, are permitted provided that the following conditions are met:
Redistributions of source code must retain the above copyright notice, this list of conditions and the following disclaimer.
Redistributions in binary form must reproduce the above copyright notice, this list of conditions and the following disclaimer in the documentation and/or other materials provided with the distribution.
Neither the name of RU and WHU nor the names of its contributors may be used to endorse or promote products derived from this software without specific prior written permission.
THIS SOFTWARE IS PROVIDED BY THE COPYRIGHT HOLDERS AND CONTRIBUTORS “AS IS” AND ANY EXPRESS OR IMPLIED WARRANTIES, INCLUDING, BUT NOT LIMITED TO, THE IMPLIED WARRANTIES OF MERCHANTABILITY AND FITNESS FOR A PARTICULAR PURPOSE ARE DISCLAIMED. IN NO EVENT SHALL THE COPYRIGHT HOLDER OR CONTRIBUTORS BE LIABLE FOR ANY DIRECT, INDIRECT, INCIDENTAL, SPECIAL, EXEMPLARY, OR CONSEQUENTIAL DAMAGES (INCLUDING, BUT NOT LIMITED TO, PROCUREMENT OF SUBSTITUTE GOODS OR SERVICES; LOSS OF USE, DATA, OR PROFITS; OR BUSINESS INTERRUPTION) HOWEVER CAUSED AND ON ANY THEORY OF LIABILITY, WHETHER IN CONTRACT, STRICT LIABILITY, OR TORT (INCLUDING NEGLIGENCE OR OTHERWISE) ARISING IN ANY WAY OUT OF THE USE OF THIS SOFTWARE, EVEN IF ADVISED OF THE POSSIBILITY OF SUCH DAMAGE.